La explicación de estos análisis se encuentra entre las
paginas 177 – 180. Época
de siembra dentro del año es incluida como variable de efectos fijos.
 |
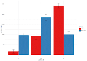
ggplot(MEDIAS, aes(x = VARIEDAD,
y = RENDIMIENTO,
fill = EPOCA)) +
geom_bar(position = position_dodge(), stat = "identity") +
geom_errorbar(aes(ymin = RENDIMIENTO-se,
ymax = RENDIMIENTO+se),
width = .2,
position = position_dodge(.9)) +
scale_fill_brewer(palette = "Set1") + theme_minimal()
|
Nuestras
preguntas en cada análisis ¿Qué más existirá disponible que aún nos falte
emplear? ¿Habrán otros códigos simplificados y elegantes? Existen.
Códigos en R
InviernoPrimavera <- read.csv("C:/Users/Administrator/Desktop/tabla 13.3.csv", header=TRUE)
attach(InviernoPrimavera)
print(InviernoPrimavera)
## VARIEDAD EPOCA BLOQUE RENDIMIENTO
## 1 V1 Invierno I 0
## 2 V1 Invierno II 214
## 3 V1 Invierno III 425
## 4 V1 Invierno IV 40
## 5 V2 Invierno I 1252
## 6 V2 Invierno II 627
## 7 V2 Invierno III 716
## 8 V2 Invierno IV 1068
## 9 V3 Invierno I 2163
## 10 V3 Invierno II 2714
## 11 V3 Invierno III 2521
## 12 V3 Invierno IV 2240
## 13 V1 Primavera I 1036
## 14 V1 Primavera II 697
## 15 V1 Primavera III 849
## 16 V1 Primavera IV 1258
## 17 V2 Primavera I 1524
## 18 V2 Primavera II 1861
## 19 V2 Primavera III 2220
## 20 V2 Primavera IV 1744
## 21 V3 Primavera I 1312
## 22 V3 Primavera II 874
## 23 V3 Primavera III 695
## 24 V3 Primavera IV 1133
library(plyr)
source("C:/Users/Administrator/Desktop/summarySE.r")
MEDIAS <- summarySE(InviernoPrimavera, measurevar="RENDIMIENTO", groupvars=c("VARIEDAD", "EPOCA"))
MEDIAS
## VARIEDAD EPOCA N RENDIMIENTO sd se ci
## 1 V1 Invierno 4 169.75 193.8735 96.93673 308.4959
## 2 V1 Primavera 4 960.00 242.2602 121.13010 385.4900
## 3 V2 Invierno 4 915.75 294.1206 147.06029 468.0115
## 4 V2 Primavera 4 1837.25 290.9082 145.45410 462.8999
## 5 V3 Invierno 4 2409.50 254.7188 127.35940 405.3145
## 6 V3 Primavera 4 1003.50 273.1819 136.59093 434.6933
library(ggplot2)
ggplot(MEDIAS, aes(x = VARIEDAD,
y = RENDIMIENTO,
fill = EPOCA)) +
geom_bar(position = position_dodge(), stat = "identity") +
geom_errorbar(aes(ymin = RENDIMIENTO-se,
ymax = RENDIMIENTO+se),
width = .2,
position = position_dodge(.9)) +
scale_fill_brewer(palette = "Greens") + theme_minimal()
ggplot(InviernoPrimavera, aes(x=EPOCA, y=RENDIMIENTO, color=VARIEDAD)) +
geom_point(shape=1) + scale_color_brewer(palette = "Set1") +
geom_point(size = 3.0)
ggplot(MEDIAS, aes(x = factor(EPOCA), y = RENDIMIENTO, colour = VARIEDAD, group = VARIEDAD)) +
scale_color_brewer(palette = "Set1") + geom_line(size = 1.0, linetype = 'solid')
pd <- position_dodge(0.1)
SEgraph <- ggplot(data = MEDIAS, aes(x = EPOCA, y = RENDIMIENTO,
group = VARIEDAD,
color = VARIEDAD,
linetype = VARIEDAD,
shape = VARIEDAD)) +
geom_errorbar(aes(ymin = RENDIMIENTO-se, ymax = RENDIMIENTO+se),
width = .2, position = pd, size = 0.4, linetype = 'solid') +
geom_line(position = pd, size = 1.0, linetype = 'solid') +
geom_point(position = pd, size = 3.0) +
scale_color_brewer(palette = "Set1") + theme_minimal() +
ggtitle("Gráfico con errores típicos") +
xlab("EPOCA") + ylab("RENDIMIENTO(kg/ha)"); SEgraph

library("plyr")
ipMEDIAS <- ddply(InviernoPrimavera,.(EPOCA,VARIEDAD), summarise, val = mean(RENDIMIENTO))
ggplot(InviernoPrimavera, aes(x = factor(EPOCA), y = RENDIMIENTO, colour = VARIEDAD)) +
geom_boxplot() + geom_point(data = ipMEDIAS, aes(y = val), position = position_dodge(width=0.75)) +
geom_line(data = ipMEDIAS, aes(y = val, group = VARIEDAD), position = position_dodge(width=0.75)) +
scale_x_discrete("Época") + scale_y_continuous("Rendimiento (kg/ha)") + theme_bw() + theme_bw() +
theme(axis.title.x = element_text(size = 12, hjust = 0.54, vjust = 0),
axis.title.y = element_text(size = 12, angle = 90, vjust = 0.25))
library(plotly)
gInvPrim <- plot_ly(InviernoPrimavera, y = ~RENDIMIENTO, color = ~EPOCA:VARIEDAD, type = "box",
boxpoints = "all", jitter = 0.3, pointpos = -1.8); gInvPrim
gInvPrim <- plot_ly(InviernoPrimavera, y = ~RENDIMIENTO, color = ~VARIEDAD:EPOCA, type = "box",
boxpoints = "all", jitter = 0.3, pointpos = -1.8); gInvPrim
invierno <- InviernoPrimavera[1:12, ]; invierno
## VARIEDAD EPOCA BLOQUE RENDIMIENTO
## 1 V1 Invierno I 0
## 2 V1 Invierno II 214
## 3 V1 Invierno III 425
## 4 V1 Invierno IV 40
## 5 V2 Invierno I 1252
## 6 V2 Invierno II 627
## 7 V2 Invierno III 716
## 8 V2 Invierno IV 1068
## 9 V3 Invierno I 2163
## 10 V3 Invierno II 2714
## 11 V3 Invierno III 2521
## 12 V3 Invierno IV 2240
library(doBy)
## Warning: package 'doBy' was built under R version 3.3.2
library(pastecs)
summaryBy(RENDIMIENTO ~ VARIEDAD, data = invierno, FUN = stat.desc)
gInvierno <- plot_ly(invierno, y = ~RENDIMIENTO, color = ~VARIEDAD, type = "box",
boxpoints = "all", jitter = 0.3, pointpos = -1.8); gInvierno
ANOVAinvierno <- aov(RENDIMIENTO ~ BLOQUE + VARIEDAD, data = invierno)
summary(ANOVAinvierno)
## Df Sum Sq Mean Sq F value Pr(>F)
## BLOQUE 3 19833 6611 0.073 0.972561
## VARIEDAD 2 10405714 5202857 57.060 0.000125 ***
## Residuals 6 547094 91182
## ---
## Signif. codes: 0 '***' 0.001 '**' 0.01 '*' 0.05 '.' 0.1 ' ' 1
primavera <- InviernoPrimavera[13:24, ]; primavera
## VARIEDAD EPOCA BLOQUE RENDIMIENTO
## 13 V1 Primavera I 1036
## 14 V1 Primavera II 697
## 15 V1 Primavera III 849
## 16 V1 Primavera IV 1258
## 17 V2 Primavera I 1524
## 18 V2 Primavera II 1861
## 19 V2 Primavera III 2220
## 20 V2 Primavera IV 1744
## 21 V3 Primavera I 1312
## 22 V3 Primavera II 874
## 23 V3 Primavera III 695
## 24 V3 Primavera IV 1133
summaryBy(RENDIMIENTO ~ VARIEDAD, data = primavera, FUN = stat.desc)
gPrimavera <- plot_ly(primavera, y = ~RENDIMIENTO, color = ~VARIEDAD, type = "box",
boxpoints = "all", jitter = 0.3, pointpos = -1.8); gPrimavera
ANOVAinvierno <- aov(RENDIMIENTO ~ BLOQUE + VARIEDAD, data = primavera)
summary(ANOVAinvierno)
## Df Sum Sq Mean Sq F value Pr(>F)
## BLOQUE 3 84709 28236 0.298 0.8262
## VARIEDAD 2 1955465 977733 10.308 0.0115 *
## Residuals 6 569129 94855
## ---
## Signif. codes: 0 '***' 0.001 '**' 0.01 '*' 0.05 '.' 0.1 ' ' 1
MODELO <- aov(RENDIMIENTO ~ EPOCA + Error(EPOCA/BLOQUE) + EPOCA*VARIEDAD, InviernoPrimavera)
summary(MODELO)
MODELO <- aov(RENDIMIENTO ~ EPOCA + EPOCA/BLOQUE + EPOCA*VARIEDAD, InviernoPrimavera)
summary(MODELO)
## Df Sum Sq Mean Sq F value Pr(>F)
## EPOCA 1 62322 62322 0.670 0.429
## VARIEDAD 2 5522514 2761257 29.685 2.26e-05 ***
## EPOCA:BLOQUE 6 104542 17424 0.187 0.975
## EPOCA:VARIEDAD 2 6838665 3419332 36.760 7.63e-06 ***
## Residuals 12 1116223 93019
## ---
## Signif. codes: 0 '***' 0.001 '**' 0.01 '*' 0.05 '.' 0.1 ' ' 1
str(InviernoPrimavera)
contrastmatrix <- cbind(c(-1, -1, 2),
c( 1, -1, 0)); contrastmatrix
contrasts(InviernoPrimavera$VARIEDAD)<-contrastmatrix
InviernoPrimavera$VARIEDAD
CONTRASTAR <- aov(RENDIMIENTO ~ EPOCA + EPOCA/BLOQUE + EPOCA*VARIEDAD, InviernoPrimavera)
summary(CONTRASTAR, split = list(VARIEDAD = list("V3 vs. V1 + V2" = 1,"V1 + V2" = 2)))
## Df Sum Sq Mean Sq F value Pr(>F)
## EPOCA 1 62322 62322 0.670 0.429009
## VARIEDAD 2 5522514 2761257 29.685 2.26e-05 ***
## VARIEDAD: V3 vs. V1 + V2 1 2887574 2887574 31.043 0.000122 ***
## VARIEDAD: V1 + V2 1 2634941 2634941 28.327 0.000182 ***
## EPOCA:BLOQUE 6 104542 17424 0.187 0.974684
## EPOCA:VARIEDAD 2 6838665 3419332 36.760 7.63e-06 ***
## EPOCA:VARIEDAD: V3 vs. V1 + V2 1 6821438 6821438 73.334 1.86e-06 ***
## EPOCA:VARIEDAD: V1 + V2 1 17227 17227 0.185 0.674574
## Residuals 12 1116223 93019
## ---
## Signif. codes: 0 '***' 0.001 '**' 0.01 '*' 0.05 '.' 0.1 ' ' 1
Códigos en SAS
/***********************************************************
EXPERIMENTACIÓN EN AGRICULTURA
Fernández
Escobar, R.; Trapero, A.; Domínguez, J. 2010
CAPÍTULO 13:
ANÁLISIS DE LA VARIANZA COMBINADO
Análisis de
diferentes épocas (páginas 177 - 180)
************************************************************/
DATA InviernoPrimavera;
INPUT VARIEDAD $ EPOCA $ BLOQUE $ RENDIMIENTO;
CARDS;
V1 Invierno I 0
V1 Invierno II 214
V1 Invierno III 425
V1 Invierno IV 40
V2 Invierno I 1252
V2 Invierno II 627
V2 Invierno III 716
V2 Invierno IV 1068
V3 Invierno I 2163
V3 Invierno II 2714
V3 Invierno III 2521
V3 Invierno IV 2240
V1 Primavera I 1036
V1 Primavera II 697
V1 Primavera III 849
V1 Primavera IV 1258
V2 Primavera I 1524
V2 Primavera II 1861
V2 Primavera III 2220
V2 Primavera IV 1744
V3 Primavera I 1312
V3 Primavera II 874
V3 Primavera III 695
V3 Primavera IV 1133
;
ODS HTML;
* Imprimiento datos completos: Invierno y Primavera;
PROC PRINT;
PROC MEANS MEAN STD STDERR MAXDEC=2;
VAR
RENDIMIENTO;
CLASS VARIEDAD EPOCA;
RUN;
*Ordenando y clasificando datos por VARIEDAD;
PROC SORT DATA =
InviernoPrimavera; BY VARIEDAD; RUN;
PROC UNIVARIATE DATA =
InviernoPrimavera; VAR RENDIMIENTO; BY VARIEDAD EPOCA;
RUN;
* Separando datos de Invierno;
DATA Invierno;
SET InviernoPrimavera(obs = 12); RUN; *Incluye las primeras 12 líneas;
PROC PRINT DATA=Invierno;
RUN;
* ANOVA Diseño Bloques al Azar: Datos de Invierno;
PROC GLM DATA =
Invierno;
CLASS VARIEDAD BLOQUE;
MODEL RENDIMIENTO = BLOQUE VARIEDAD;
RUN;
* Separando datos de Primavera;
DATA Primavera;
SET InviernoPrimavera(firstobs = 13); RUN; *Datos inician en línea 13;
PROC PRINT DATA=Primavera;
RUN;
* ANOVA Diseño Bloques al Azar: Datos de Primavera;
PROC GLM DATA =
Primavera;
CLASS VARIEDAD BLOQUE;
MODEL RENDIMIENTO = BLOQUE VARIEDAD;
RUN;
* Modelo EPOCA EPOCA*REP(E) VARIEDAD VARIEDAD*EPOCA
* Opción 1: ANOVA Combinado RENDIMIENTO (página
179);
PROC GLM DATA =
InviernoPrimavera;
CLASS VARIEDAD BLOQUE EPOCA;
MODEL RENDIMIENTO = EPOCA BLOQUE EPOCA*BLOQUE VARIEDAD
EPOCA*VARIEDAD;
RUN;
* Opción 2: ANOVA Combinado RENDIMIENTO (página 179)
Mejor!;
PROC MIXED DATA =
InviernoPrimavera METHOD = TYPE1;
CLASS VARIEDAD BLOQUE EPOCA;
MODEL RENDIMIENTO = EPOCA VARIEDAD EPOCA*VARIEDAD / DDFM=SATTERTH;
RANDOM EPOCA*BLOQUE;
RUN;
* Modelo EPOCA EPOCA*REP(E) VARIEDAD VARIEDAD*EPOCA
* Opción 1: ANOVA Combinado RENDIMIENTO (página
180);
PROC GLM DATA =
InviernoPrimavera;
CLASS VARIEDAD BLOQUE EPOCA;
MODEL RENDIMIENTO = EPOCA BLOQUE EPOCA*BLOQUE VARIEDAD
EPOCA*VARIEDAD / SOLUTION;
RANDOM EPOCA*BLOQUE / TEST;
*Contrastes ortogonales:
Variedades V1 V2
V3;
CONTRAST 'V3
vs. V1 + V2' VARIEDAD
-1
-1
2;
CONTRAST 'V1 vs. V2' VARIEDAD 1 -1 0;
*Época
* Variedad V1I V1P V2I V2P V3I V3P;
CONTRAST 'Época : (V3 vs. V1 + V2)' VARIEDAD*EPOCA
-1
1
-1
1
2
-2 ;
CONTRAST 'Época
: (V1 vs. V2)' VARIEDAD*EPOCA 1 -1 -1 1 0 0 ;
RUN;
* Opción 2: ANOVA
Combinado RENDIMIENTO (página 180) Mejor!;
PROC MIXED DATA =
InviernoPrimavera METHOD = TYPE1;
CLASS
VARIEDAD BLOQUE EPOCA;
MODEL
RENDIMIENTO = EPOCA VARIEDAD EPOCA*VARIEDAD / DDFM=SATTERTH;
RANDOM
EPOCA*BLOQUE;
*Contrastes ortogonales:
Variedades V1 V2
V3;
CONTRAST 'V3
vs. V1 + V2'
VARIEDAD -1 -1 2;
CONTRAST 'V1
+ V2' VARIEDAD 1 -1 0;
*Época * Variedad V1I V1P V2I V2P V3I V3P;
CONTRAST 'Época
: (V3 vs. V1 + V2)' VARIEDAD*EPOCA
-1 1 -1 1 2 -2 ;
CONTRAST 'Época
: (V1 vs. V2)'
VARIEDAD*EPOCA 1 -1 -1 1 0 0 ;
RUN;
QUIT;
ODS HTML CLOSE;
--------------------------------------------
Archivos adjuntos:
Datos : tabla 13.3.csv
R : capítulo 13c.R, summarySE.R
SAS : capítulo 13c.sas